Concurso Público
REPROGRAMACION DEL EXAMEN CURRICULAR
REPROGRAMACION DEL EXAMEN CURRICULAR
PUBLICACIONES DEL CONCURSO PÚBLICO DE MÉRITOS PARA EL INGRESO A LA FUNCIÓN NOTARIAL DEL DISTRITO NOTARIAL DE JUNÍN
CONCURSO N° 001 – 2024
Cargando...
Postulantes Concurso Publico Notarial Junín
(Convocatoria N° 001-2024-CNJ)
| COLEGIO DE NOTARIOS DE JUNÍN | ||||
| RELACIÓN DE INSCRITOS AL CONCURSO PÚBLICO DE MÉRITOS PARA EL INGRESO A LA FUNCIÓN NOTARIAL 01-2024 | ||||
| N° | APELLIDOS | NOMBRES | FECHA DE INSCRIPCIÓN | HORA DE INSCRIPCIÓN |
| 1 | AMES LOPEZ | JESUS ROBERTO | 27/06/2024 | 17:15 |
| 2 | AQUINO LIRA | RICHARD BAUDELIO | 25/06/2024 | 11:32 |
| 3 | ARANDA MEZA | CIRILO | 27/06/2024 | 17:57 |
| 4 | BALBIN RAMIREZ | JEAN CARLOS | 14/06/2024 | 09:51 |
| 5 | BARRIOS MORALES | LUZ MARIBEL | 27/06/2024 | 14:54 |
| 6 | BELLO MERLO | LALY | 27/06/2024 | 13:21 |
| 7 | CASTILLO HUERTA | LUIS OSWALDO | 26/06/2024 | 12:27 |
| 8 | CERRON VALVERDE | ELVER ALCIDES | 27/06/2024 | 11:28 |
| 9 | CHUMBIMUNE PORRAS | ROBERT LUIS | 18/06/2024 | 15:10 |
| 10 | CORAL FLORES | IVAN MARTIN | 27/06/2024 | 11:37 |
| 11 | CUEVA ARENAS | RAFAEL RENE | 27/06/2024 | 11:10 |
| 12 | DELGADO CAMPOS | ALEX | 26/06/2024 | 16:57 |
| 13 | DELGADO MALLASCA | JULIO CESAR | 26/06/2024 | 12:44 |
| 14 | DIAZ RODRIGUEZ | GABRIELA | 4/06/2024 | 12:13 |
| 15 | DIAZ RODRIGUEZ | MARCIA | 23/06/2024 | 14:45 |
| 16 | ESPINOZA PEREZ | KRISHNA JULIO | 27/06/2024 | 17:20 |
| 17 | ESPINOZA SANCHEZ | RONALD | 27/06/2024 | 17:30 |
| 18 | FRANCIA AYARZA | CARLOS OCTAVIO | 25/06/2024 | 12:00 |
| 19 | GALLEGOS SOTOMAYOR | WILLMAR JOSE | 2/06/2024 | 15:00 |
| 20 | GOMEZ ESPLANA | LUIS JULIO | 27/06/2024 | 12:36 |
| 21 | GUTARRA GARCIA | JUAN ALBERTO | 27/06/2024 | 11:44 |
| 22 | HUARCAYA RODRIGUEZ | SUSAN JAQUELYNE | 27/06/2024 | 11:51 |
| 23 | HUAYNATES ESTRADA | VIOLETA | 27/06/2024 | 17:12 |
| 24 | ISIA LARICO | SONIA MARIZELA | 29/05/2024 | 12:28 |
| 25 | LA MADRID ALIAGA | JESUS RAUL | 18/06/2024 | 12:07 |
| 26 | LANDINI VASQUEZ | LUIS ALBERTO | 25/06/2024 | 15:05 |
| 27 | LOPEZ SUAREZ | CATHERINE DANIS | 27/06/2024 | 17:20 |
| 28 | LOZANO RODRIGUEZ | ZUDI | 26/06/2024 | 17:26 |
| 29 | MACHUCA TORRES | DIEGO | 27/06/2024 | 17:11 |
| 30 | MALDONADO MIRANDO | CLIFFORD KEVIN | 27/06/2024 | 15:36 |
| 31 | MALLMA QUINTO | DAVID DENYS | 27/06/2024 | 12:03 |
| 32 | MANTARI MOLINA | MANUEL | 24/06/2024 | 14:37 |
| 33 | MAQUERA MAQUERA | CESAR ANTONIO | 26/06/2024 | 17:44 |
| 34 | MAURICIO BASURTO | ROBERTO CARLOS | 26/06/2024 | 18:00 |
| 35 | MENDOZA URREGO | LILIAM | 27/06/2024 | 17:42 |
| 36 | MILLAN CONDOR | KENNY GELY | 27/06/2024 | 12:42 |
| 37 | MIRANDA CHUQUILLANQUI | EDGAR RAUL | 10/06/2024 | 12:30 |
| 38 | ORDAYA HUAMAN | AMADEO | 27/06/2024 | 14:46 |
| 39 | PALPA PORRAS | MARLENE MORAIMA | 24/06/2024 | 14:35 |
| 40 | PATIÑO PAREDES | VICTOR | 27/06/2024 | 14:05 |
| 41 | PEÑALOZA PAYANO | JULIO LUIS | 26/06/2024 | 15:38 |
| 42 | QUISPE AÑAMURO | ALBERT | 20/06/2024 | 11:42 |
| 43 | QUISPE HILARIO | SAUL | 27/06/2024 | 12:58 |
| 44 | QUISPEALAYA MONTOYA | ARTURO DANIEL | 25/06/2024 | 10:40 |
| 45 | RAMOS CASTELLANOS | DENNIS | 24/06/2024 | 12:37 |
| 46 | RENGIFO VASQUEZ-CALCEDO | JOSEPH GEANFRANCO | 3/06/2024 | 10:00 |
| 47 | REYNOSO MONAGO | JHIMMY NELIO | 26/06/2024 | 16:10 |
| 48 | RICALDI MEZA | FREDY HERNANDO | 27/06/2024 | 17:09 |
| 49 | RODRIGUEZ MUCHA | ALFREDO ENRIQUE | 27/06/2024 | 14:09 |
| 50 | ROJAS GARCIA | ELI ERIK | 27/06/2024 | 12:11 |
| 51 | ROJAS LAZARO | LUZ RAQUEL | 27/06/2024 | 12:50 |
| 52 | SANCHEZ GALLARDO | YOVANA | 26/06/2024 | 11:59 |
| 53 | SANTIAGO MEJIA | ANDY PEDRO | 26/06/2024 | 16:06 |
| 54 | TEJEDA BURGOS | BETSY YANINA | 25/06/2024 | 12:49 |
| 55 | TELADA HUAMAN | TEDDY ALBINO | 21/06/2024 | 15:22 |
| 56 | TICSE TRAVERZO | MARLENE CARMEN | 27/06/2024 | 11:45 |
| 57 | TORRES DELGADO | EDWIN VICTOR | 27/06/2024 | 17:30 |
| 58 | URTEAGA GUZMAN | ALEX | 27/06/2024 | 09:52 |
| 59 | VARGAS GIRON | JUAN MIGUEL | 20/06/2024 | 12:52 |
| 60 | VASQUEZ RODRIGUEZ | DHEILLY DAYTON KERRY | 27/06/2024 | 15:50 |
| 61 | VASQUEZ RODRIGUEZ | DAYANARA SHERYL | 27/06/2024 | 17:50 |
| 62 | VILCAHUAMAN NINANYA | ELIAS ANTONIO | 26/06/2024 | 12:19 |
| 63 | VILLALVA ALMONACID | GUIDO DAVID | 24/06/2024 | 11:00 |
| 64 | VIVAS SIERRA | PAULO JORGE | 27/06/2024 | 14:56 |
| 65 | YARASCA CIPRIANO | JIMENA MAGALI | 24/06/2024 | 12:41 |
| 66 | ZEVALLOS RAMOS | YULY EDITH | 27/06/2024 | 12:51 |
| 67 | ZULUAGA GUERRA | MARCO | 20/06/2024 | 11:00 |
SEGUNDA FECHA PARA EL EXAMEN PSICOLÓGICO

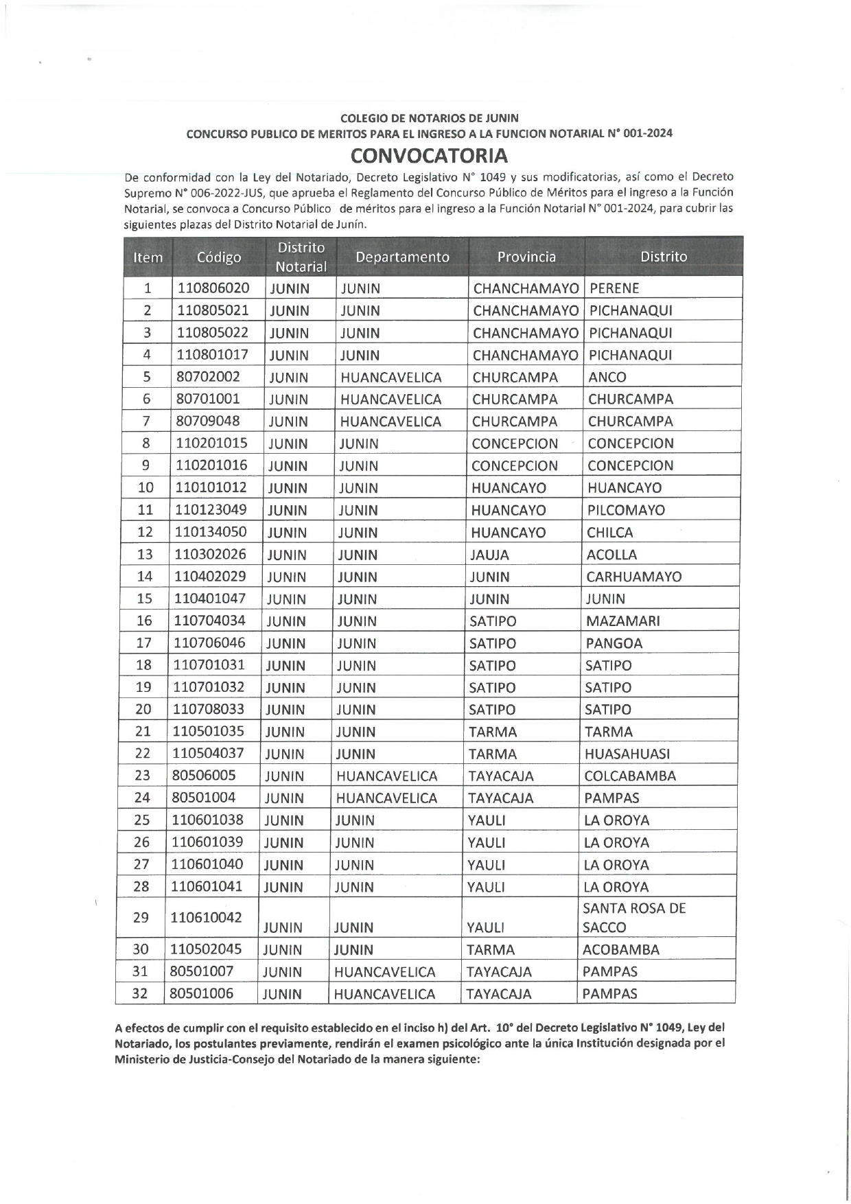
CONVOCATORIA AL COMCURSO PUBLICO DE MERITOS PARA EL INGRESO A LA FUNCION NOTARIAL N°001

CONVOCATORIA DEL EXAMEN PSICOLÓGICO PARA EL AÑO 2024
| MES | FECHA DE INSCRIPCIONES | FECHA DE EVALUACION INDIVIDUAL Y GRUPAL |
| ENERO | 01 AL 24 DE ENERO | 30 Y 31 DE ENERO |
| FEBRERO | 01 AL 23 DE FEBRERO | 28 Y 29 DE FEBRERO |
| MARZO | 01 AL 21 DE MARZO | 26 Y 27 DE MARZO |
| ABRIL | 01 AL 20 DE MARZO | 26 Y 27 DE ABRIL |
| MAYO | 02 AL 22 DE MARZO | 30 Y 31 DE MARZO |
| JUNIO | 01 AL 21 DE JUNIO | 27 Y 28 DE JUNIO |
| JULIO | 01 AL 18 DE JUNIO | 19 Y 20 DE JULIO |
| AGOSTO | 01 AL 23 DE AGOSTO | 28 Y 29 DE AGOSTO |
| SEPTIEMBRE | 02 AL 21 DE SEPTIEMBRE | 27 Y 28 DE SEPTIEMBRE |
| OCTUBRE | 01 AL 21 DE OCTUBRE | 25 Y 26 DE OCTUBRE |
| NOVIEMBRE | 02 AL 19 DE NOVIEMBRE | 22 Y 23 DE NOVIEMBRE |
| DICIEMBRE | 26 AL 16 DE DICIMBRE | 17 Y 18 DE DICIEMBRE |
COMUNICADO 20 DE JUNIO DEL 2023
Concurso Público Notarial
Publicación en el diario «El Peruano» (22/05/2022)
Publicación en el diario «El Correo» – Huancayo (21/05/2022)
Documentos
REANUDACIÓN DEL CONCURSO PUBLICO DE MÉRITOS PARA EL INGRESO A LA FUNCIÓN NOTARIAL N° 001-2019




«Vigencia de los exámenes psicológicos para la Reanudación del Concurso Público de Méritos para el Ingreso a la Función Notarial N° 001-2019.»

|
CONVOCATORIA
De conformidad con la Ley del Notariado, Decreto Legislativo N° 1049, así como el Decreto Supremo N° 015-2008-JUS. que aprueba el Reglamento del Concurso Público de Méritos para el ingreso a la Función Notarial, modificado por el ART 1° del Decreto Supremo N° 002-2010-JUS, se convoca a Concurso Público de méritos para el ingreso a la Función Notarial N° 001-2019, para cubrir las siguientes plazas del Distrito Notarial de Junín.
- Publicación en el diario «El Peruano» – Huancayo (29/10/2021)
















